行业知识

差压流量计测流量及温压补偿知识分享

2023-04-11 08:17:54 千亿体育在线注册,千亿体育(中国)

差压流量计测流量及温压补偿知识分享


差压流量计三阀组的开停顺序

开启:开正,关平,开负。停用:关负,开平,关正

差压式流量计三阀组的开启:先打开正压阀,再关闭平衡阀,打开负压阀,

关闭:先关闭负压阀,再打开平衡阀,关闭正压

首先开启正压阀这一项的前提是在确认平衡阀已经打开的情况下,这样该测量点的偏高压部分就已经被同时导入到变送器的正、负压室中,然后关闭平衡阀再开启负压阀,负压室中的压力下降至负压侧压力,从而保证了开启正、负压侧阀门时始终不会对敏感原件造成单向的压力冲击。

图片关键词


再有差压式流量计测量液体或导压管有冷凝液(隔离液)的,启用和关闭时,三阀组是严禁同时处于开启状态的,不然会因为正负压室的差压将导压管的冷凝液(隔离液)冲跑,造成测量误差。如果是测量的气体,可以直接打开或关闭平衡阀。


如果差压变送器的三阀组都同时处于开启状态,此时正压侧取压点与负压侧取压点因三阀组的打开而连通,相当于一个U形管,正压侧的压力要高于负压侧,负压侧的导压管中的冷凝液就会被冲跑,冲跑的多少,就是正压侧与负压侧之间的差压。


下举两个计算例子。

(1)差压式流量计的计算方法

有差压式流量计,其差压变送器输出为 4-20mA,对应的量程为 0-160m3/h,当输出电流为 8mA 时,流量是多少?


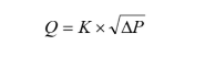
差压式流量计的流量与差压的关系是:

图片关键词


式中 Q 为流量;K 为常数;△P 为差压。


差压已由变送器转换为电流 I,所以以本台流量计的流量与电流的关系如下:

图片关键词

该流量计,当输出电流为 8mA 时,流量是 80m3/h。

图片关键词

(2)线性输出流量计的计算方法

有台涡街流量计,其输出为 4-20mA,对应的量程为 0-20000kg/h,当输出电流为 16 mA时,流量是多少?


该流量计由于流量与电流成线性关系,所以流量与电流的关系如下:

图片关键词

该流量计,当输出电流为 16mA 时,流量是 15000kg/h 。



首页
产品
新闻
联系